[한국농어민뉴스] 현미에 뼈 건강 효과 우수한 페놀산 배당체 함유
|
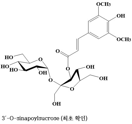
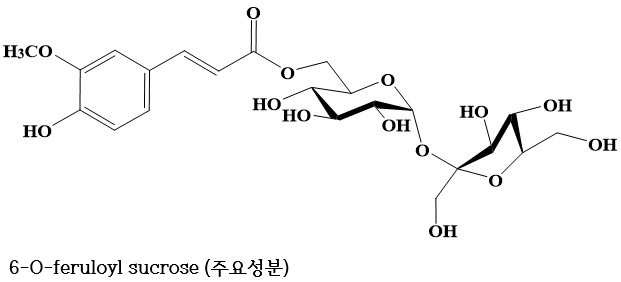
농촌진흥청, 한국인 섭취 농식품 대상 기능 성분 소개: 현미 페놀산 페놀산 8종(배당체 6종) 확인… 배당체 1종은 현미에서 처음 확인 주요 성분 5종, 골다골증 유발하는 파골세포 분화 억제 효과 입증 농촌진흥청(청장 이승돈)은 국산 현미에 뼈 건강에 우수한 효과를 보이는 페놀산 배당체가 함유돼 있음을 확인하고 관련 정보를 제공했다. 현미는 백미보다 식이섬유, 비타민, 미네랄 등과 함께 페놀산이 풍부하다. 페놀산은 식물계에 널리 분포하는 폴리페놀의 일종으로, 체내 유해한 활성산소를 제거하여 세포의 산화적 손상을 막아주는 대표적인 항산화 물질이다. 이러한 강력한 항산화 작용을 바탕으로 항염증․항당뇨․항암․심혈관 질환 예방 등 다양한 건강 효능이 과학적으로 보고돼 있다. 농촌진흥청 식생활영양과 연구진의 정밀 분석 결과, 국산 현미(‘삼광’)에서 총 8종의 페놀산 성분을 확인했으며, 이 중 6종이 배당체 형태로 밝혀졌다.* * 배당체: 당 분자가 결합된 구조를 가진 화합물 배당체(6종): 3′-O-sinapoylsucrose, 6-O-feruloylsucrose, 6-O-sinapoylsucrose, 3′6-di-O-sinapoylsucrose, 3′-O-sinapoyl-6-O-feruloylsucrose, 3′6-di-O-feruloylsucrose 그 중 ‘6-O-페룰로일슈크로스(6-O-feruloylsucrose)’가 총 페놀산 함량의 약 40%(100g 당 생중량, 4.4mg)를 차지하는 가장 중요한 성분으로 확인됐다. 특히, ‘3′-O-시나포일슈크로스(3′-O-sinapoylsucrose)’는 세계 최초로 현미에서 존재가 확인됐다.
또한, 이번에 확인된 페놀산 배당체들의 뼈 건강 개선 효과를 검증하기 위해 뼈를 파괴하는 파골세포의 분화를 유도한 뒤 페놀산 배당체를 처리한 결과, ‘3′-O-시나포일슈크로스’를 제외한 ‘3′-O-시나포일-6-O-페룰로일슈크로스(3′-O-sinapoyl-6-O-feruloylsucrose)’등 5종의 배당체가 파골세포의 분화를 억제하는 효과를 보였다. 농촌진흥청은 파골세포 분화 억제는 뼈 손실을 막고 골밀도를 유지하는 효과를 나타낸다며, 이번 연구로 현미 섭취가 골다공증 예방 및 뼈 건강 유지에 도움을 줄 수 있다는 과학적 근거를 마련했다는 점에서 의미가 크다고 밝혔다. 이번 현미에 함유된 페놀산 종류와 함량 연구 결과는 식품 전문 학술지「한국식품영양학회지」에 논문으로 게재됐다. 농촌진흥청은 농식품종합정보시스템 ‘농식품올바로(koreanfood.rda.go.kr)’에서 현미를 비롯한 농식품 소재 308종에 들어있는 다양한 페놀산 종류와 함량 정보 등을 제공하고 있다. 농촌진흥청 식생활영양과 유선미 과장은 “이번 연구를 통해 현미가 단순한 영양 공급원을 넘어 뼈 건강에도 도움이 되는 작물임이 밝혀졌다.”라며, “국산 곡물의 건강 기능 연구에 매진해 다양한 분야에서 활용 가치를 높이고 산업화로 이어질 수 있도록 지원하겠다.”라고 말했다. 총 의견수 0개 등록된 댓글이 없습니다.
|
이 시각 주요뉴스 많이 본 기사 정부/국회 정책더보기 |





